반응형
확률 분포는 데이터의 특성에 따라 정수로 떨어지는 경우 이상확률 분포, 떨어지지 않는 경우 연속확률분포라고 한다.

다양한 확률 분포에 대한 개념 및 대표 문제를 알아보도록 하자.
[이산확률분포]
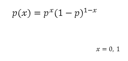
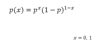
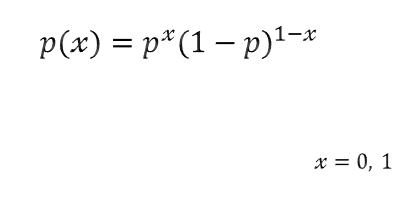
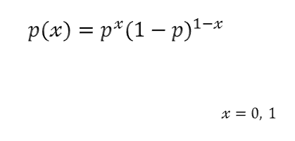
1. 베르누이 분포
베르누이 분포는 2가지 상황만 나오는 경우의 이산확률 분포

2. 이항 분포
이항 분포는 여러 번의 베르누이 분포 더한 결과라고 보면 된다.
성공 횟수와 실패 횟수에 따른 콤비네이션 결과가 추가되어있다.



3. 다항 분포
여러 가지 상황을 실험할 때, 사용하는 분포


4. 초기하분포
이항분포에서 비복원추출로 매 실험 조건이 달라지는 case라고 보면 된다.


5. 기하분포
계속 실패하다가, x번째에서 성공할 확률이라고 생각하면 된다.


6. 음이항분포
x번째에서 k번째 성공할 확률이라고 생각하면 된다.


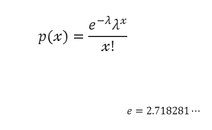
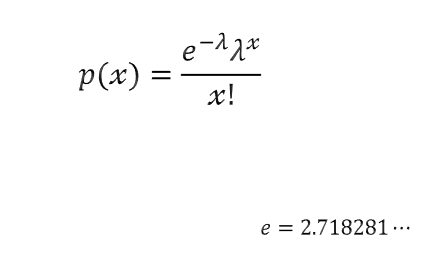
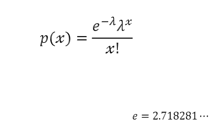
7.포아송분포
이산확률분포에서 가장 많이 사용하는 분포로, " 일정한 시간 또는 공간 내에서 발생하는, 사건의 발생 횟수에 따른 확률"






이항분포의 푸아송 근사
n이 크고 p가 작을때 푸아송 근사가 가능하다.


[연속확률분포]
1.균등분포


2.지수분포


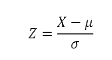
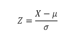
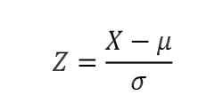
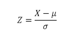
3. 정규분포


반응형
댓글